Junhe Ma 等人在 Overcoming NMR line broadening of nitrogen containing compounds: A simple solution Magnetic Resonance in Chemistry Volume: 62 Issue 3 (2024) 一文中提出了一种利用酸质子化方法解决含氮化合物因为异变互构或者键旋转引起的谱线展宽问题。
之前在做核磁的时候,经常会遇到因为化合物多种异构体或者构象互变导致谱峰展宽,甚至谱峰消失的情况,我经常是建议变温试试,或者更换溶剂。但是变温有时候受到仪器限制,温度范围并没有办法变化很大,很难看到效果;溶剂更换也不是那么容易,效果也不明显。
这个问题主要是因为氮原子自带有孤对电子,而且氮-14的四级矩耦合会导致弛豫变快而导致谱峰变宽。由于氮原子带有孤对电子所以整体电子云并不对称,当化合物中存在异构体或者构象互变或者换转化等情况,就会导致谱图展宽严重。而如果加入酸,让氮原子质子化后,会导致氮原子的整体电子云对称化。
该文章中首先提到 BMS-986299 这个化合物,图一中列出没有加入酸情况下(a),溶解在 DMSO
中的谱图,谱峰展宽很严重,特别是1,3位置虽然远离氮原子,但是也谱峰展宽严重。b、c、d分别加入盐酸,TFA(三氟乙酸)和氘代乙酸。可以明细看出来谱峰变尖锐了。

图二中给出的碳谱,刚开始也是没有出锋,后面加入酸的情况,谱峰就尖锐并且灵敏度显著提高。

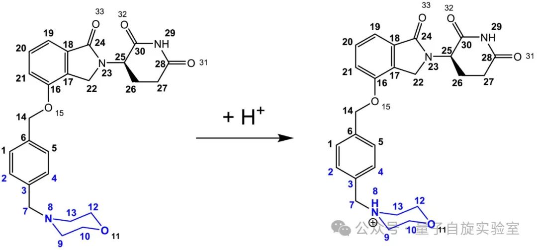
接下来文章列举的第二个化合物是 iberdomide,该分子有吗啉环的船式和椅式的构象交换,导致吗啉环上的氢谱和碳谱都展宽,并且相邻的苯环上谱峰也展宽。加入酸以后,谱峰明细锐利起来。


文章结论中提到,添加酸用于解决因为异构体或构象互变的含氮化合物的谱线展宽,该方法明细比变温和更换溶剂更加简单。并且建议用三氟乙酸,因为三氟乙酸不会引起NH质子谱峰消失。
Junhe Ma 等人的研究为解决含氮化合物核磁谱线展宽问题提供了一种简单而有效的方法。这种方法可以使谱峰变尖锐,提高灵敏度,从而更容易地对化合物进行表征。